推扬网

 找回密码
 立即注册

QQ登录

只需一步,快速开始

搜索
推扬网 门户 你问我答 查看内容

奕扬:最概然速率,平均速率和方均根速率的物理意义是什么

2020-8-10 20:20| 发布者: admin| 查看: 90| 评论: 0

摘要: 谢辰的回答: 最概然速率Vp物理意义是对所有的相等速率区间而言,在含有Vp的那个速率区间内的分子数占总分子数的百分比最大,平均速率是所有气体分子的速率之和除以分子数,方均根速率是所有分子速率平方的平均值的 ...

谢辰的回答:

最概然速率Vp物理意义是对所有的相等速率区间而言,在含有Vp的那个速率区间内的分子数占总分子数的百分比最大,平均速率是所有气体分子的速率之和除以分子数,方均根速率是所有分子速率平方的平均值的平方根。(均指当气体处于热力学平衡态,分子符合麦克斯韦速率分布时)

崔鹏飞的回答:

最概然速率Vp物理意义是对所有的相等速率区间而言,在含有Vp的那个速率区间内的分子数占总分子数的百分比最大,平均速率是所有气体分子的速率之和除以分子数,方均根速率是所有分子速率平方的平均值的平方根。(均指当气体处于热力学平衡态,分子符合麦克斯韦速率分布时)

腊梅花开的回答:

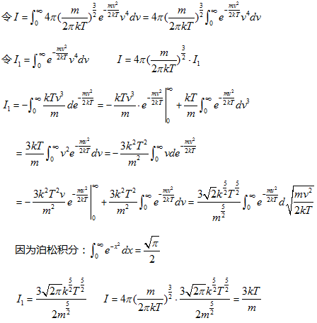
下面是平均速率,方根速率计算最后一步积分的推算过程 平均速率 方根速率

季栋梁的回答:

最概然速率一般在分子速率分布的时候会用到,平均速率在分子碰撞问题时会用到,方均根速率是在分子平均平动动能时用到。


鲜花

握手

雷人

路过

鸡蛋

最新评论

热门推荐
最新资讯

广告服务|投稿要求|禁言标准|版权说明|免责声明|手机版|小黑屋|推扬网 ( 粤ICP备18134897号 )|网站地图 | 邮箱:vayae@hotmail.com

GMT+8, 2025-12-15 14:50 , Processed in 0.243884 second(s), 28 queries .

Powered by Discuz! X3.4

© 2001-2017 Comsenz Inc.

返回顶部