孙倩倩的回答:
反应方程式:
CH?COOC?H?+H?O=CH?COOH+C?H?OH(酸的条件下)
CH?COOC?H?+NaOH=CH?COONa+C?H?OH(碱的条件下)
乙酸乙酯的碱性水解,是一个亲核加成-消除反应。但是与酸性水解最大的差别在于,碱性水解是不可逆的,也就是反应机制中可逆的进程与不可逆的进程。
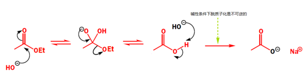
以氢氧化钠溶液水解乙酸乙酯为例,氢氧根对酯羰基进行加成,产物为带负电的四面体中间体,中间体不稳定,消除一个乙氧基负离子,形成乙酸。
乙酸与乙醇发生可逆反应会生成乙酸乙酯。我们所说的陈酒很好喝,就是因为酒中少量的乙酸与乙醇反应生成具有果香味的乙酸乙酯。
扩展资料:
制备乙酸乙酯时反应温度不宜过高,在保持在60℃~70℃之间,温度过高时会产生乙醚和亚硫酸或乙烯等杂质。液体加热至沸腾后,应改用小火加热。事先可在试管中加入几片碎瓷片,以防止液体暴沸。
乙醇过量的办法。乙醇的质量分数要高,如能用无水乙醇代替质量分数为95%的乙醇效果会更好。催化作用使用的浓硫酸量很少,一般只要使硫酸的质量达到乙醇质量的3%就可完成催化作用,但为了能除去反应中生成的水,应使浓硫酸的用量再稍多一些。
导气管不要伸到Na?CO?溶液中去,防止由于加热不均匀,造成Na?CO?溶液倒吸入加热反应物的试管中。而且乙醇与乙酸极易溶于水,会造成倒吸。
参考资料来源:搜狗百科——乙酸乙酯
王小羽的回答:
乙酸乙酯的碱性水解,是一个亲核加成-消除反应。但是与酸性水解最大的差别在于,碱性水解是不可逆的。楼上的答案已经八九不离十,但是却忽略了一个最重要的点,也就是反应机制中可逆的进程与不可逆的进程。以氢氧化钠溶液水解乙酸乙酯为例,氢氧根对酯羰基进行加成,产物为带负电的四面体中间体,中间体不稳定,消除一个乙氧基负离子,形成乙酸。
问题就在这里,乙氧基负离子比氢氧根离子碱性强,亲核性也更强,完全有能力返回进攻羰基,并且将羧酸酯化。而重新看四面体中间体,既然乙氧基负离子碱性更强,那么消去碱性较弱的氢氧根离子生成反应原料乙酸乙酯的可能性必然更大。所以反应到这一步所有的过程都是可逆的,并且平衡偏向原料而非产物。在酸性条件下的酯水解机理类似,因此是一个可逆过程。
可是碱性条件下,生成的乙酸被中和,形成乙酸根离子,这一步在碱性条件下是不可逆的。如果此时乙氧基再进攻是不成立的(画画机理就知道了,和上面一模一样的画法),因此这最后一个酸碱中和的不可逆反应,把前面所有可逆反应往产物乙酸根的方向拉,这才是这个机理最漂亮的地方。
路人假的回答:
有机反应大多是可逆的,乙酸和乙醇生成乙酸乙酯的反应也是可逆的,处于动态平衡的状态,在碱性条件下,乙酸乙酯水解得到的乙酸失去氢离子变成乙酸跟离子,平衡向着水解的方向进行,所以,乙酸乙酯会不断水解。
贾灵敏的回答:

|