推扬网

 找回密码
 立即注册

QQ登录

只需一步,快速开始

搜索
推扬网 门户 你问我答 查看内容

泊松分布在MATLAB中那些代码是什么意思啊

2020-7-17 15:16| 发布者: admin| 查看: 173| 评论: 0

摘要: meteor_011的回答 泊松分布的pdf:matlab里函数原型:Y = poisspdf(X,LAMBDA);就是计算参数为lambda时,泊松分布在X的值意义:已经观察到事物平均发生lambda次的条件下,实际发生X次的概率 RLKYS944的回答 这里如果 ...

meteor_011的回答

泊松分布的pdf:

matlab里函数原型:Y = poisspdf(X,LAMBDA);

就是计算参数为lambda时,泊松分布在X的值

意义:已经观察到事物平均发生lambda次的条件下,实际发生X次的概率

RLKYS944的回答

这里如果你再加一句plot(x,y)就会知道x是x是泊松分布图的范围

XDD7260114的回答

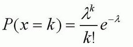
由P(x=k)=e^(-b)*b^k/k!泊松公式可知,上式中的x表示公式的k,y即概率值、其中25表示b的值,自己可以在matlab中验证下,ps;我刚试了.

泪之梦幻的回答

y=poisspdf(x,25)为matlab中求泊松分布的函数。

Poisson分布(法语:loi de Poisson,英语:Poisson distribution,译名有泊松分布、普阿松分布、卜瓦松分布、布瓦松分布、布阿松分布、波以松分布、卜氏分配等),是一种统计与概率学里常见到的离散概率分布,由法国数学家西莫恩·德尼·泊松(Siméon-Denis Poisson)在1838年时发表。

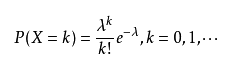
泊松分布的概率函数为:

泊松分布的参数λ是单位时间(或单位面积)内随机事件的平均发生率。 泊松分布适合于描述单位时间内随机事件发生的次数。

泊松分布的期望和方差均为  

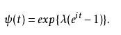
特征函数为


鲜花

握手

雷人

路过

鸡蛋

最新评论

热门推荐
最新资讯

广告服务|投稿要求|禁言标准|版权说明|免责声明|手机版|小黑屋|推扬网 ( 粤ICP备18134897号 )|网站地图 | 邮箱:vayae@hotmail.com

GMT+8, 2025-10-5 04:04 , Processed in 0.077881 second(s), 28 queries .

Powered by Discuz! X3.4

© 2001-2017 Comsenz Inc.

返回顶部